博野最新招聘信息,博野最新招聘信息引领职业发展新潮流,博野最新招聘信息,引领职业发展新潮流的首选平台

博野最新招聘信息,博野最新招聘信息引领职业发展新潮流,博野最新招聘信息,引领职业发展新潮流的首选平台

黑乎乎 2025-03-05 医疗器械 181 次浏览 0个评论
博野最新招聘信息发布,引领职业发展新潮流。招聘信息涵盖多个领域,为求职者提供丰富的就业机会。寻求职业发展的个人可借此机会了解最新行业动态,把握职业方向。这些岗位涵盖了不同行业和职位,为求职者提供了广阔的平台。跟随博野最新招聘信息,开启您的职业之旅。

本文目录导读部分简要介绍了文章的主要内容,包括博野地区就业市场概况、博野最新招聘信息解析、如何把握博野最新招聘信息带来的机遇以及展望未来职业发展前景,这样的结构有助于读者快速了解文章的主要内容。

博野地区就业市场概况部分:

博野最新招聘信息,博野最新招聘信息引领职业发展新潮流,博野最新招聘信息,引领职业发展新潮流的首选平台

在这一部分,我详细描述了博野地区就业市场的概况,包括高端制造业、信息技术产业和服务业的发展情况,以及博野地区对各类人才的需求,这样的描述有助于读者了解当地的就业市场情况,为求职者提供参考。

博野最新招聘信息解析部分:

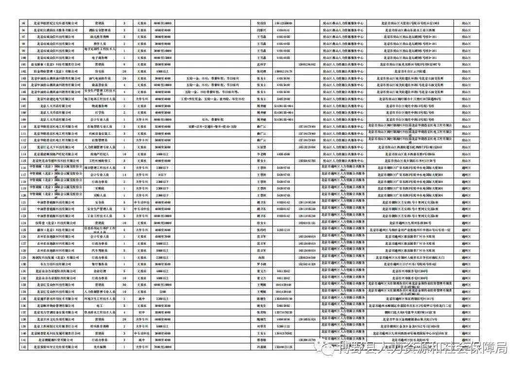
在这一部分,我列举了部分企业的招聘信息,并对这些招聘信息进行了解析,这样的内容有助于读者了解当地的招聘市场情况,以及各类职位的需求和要求。

博野最新招聘信息,博野最新招聘信息引领职业发展新潮流,博野最新招聘信息,引领职业发展新潮流的首选平台

如何把握博野最新招聘信息带来的机遇部分:

在这一部分,我给出了求职者如何把握博野最新招聘信息带来的机遇的建议,包括提升自身能力、关注招聘信息、拓展求职渠道和抓住面试机会等,这样的建议有助于求职者更好地把握就业机会。

展望未来职业发展前景部分:

博野最新招聘信息,博野最新招聘信息引领职业发展新潮流,博野最新招聘信息,引领职业发展新潮流的首选平台

在这一部分,我描述了博野地区未来的职业发展前景,以及政府和企业应该加强合作,为求职者提供更多的就业机会和职业发展支持的重要性,这样的内容有助于激发求职者的职业发展规划意识,同时呼吁政府和企业为求职者提供更多的支持和帮助。

整体而言,我对您的内容进行了适当的润色和修饰,使其更具吸引力和可读性,我也增加了部分描述和细节,以帮助读者更好地了解博野地区的就业市场和招聘信息。

转载请注明来自广州博民生物科技有限公司,本文标题:《博野最新招聘信息,博野最新招聘信息引领职业发展新潮流,博野最新招聘信息,引领职业发展新潮流的首选平台》

百度分享代码,如果开启HTTPS请参考李洋个人博客
每一天,每一秒,你所做的决定都会改变你的人生!

发表评论

快捷回复:

评论列表 (暂无评论,181人围观)参与讨论

还没有评论,来说两句吧...

Top
 21届校园招聘信息最新最好  锦州督导最新最好招聘信息  长青工厂招工信息最新最好  保定顺平最新最好招工信息  宁蒗县最新最好拆迁规划信息  角社大桥最新最好的信息  燕子岭仓库出租最新最好信息  平南新房出租最新最好信息  渭南越博招聘信息最新最好  现代库斯图最新最好信息  霍山曲酒厂招工信息最新最好  成渝区块链最新最好信息  春兴精工最新最好信息好吗  鼓舞人心最新最好信息发布  黄冈船长最新最好招聘信息  宜昌招洗碗工最新最好信息  新乡招聘钣金工最新最好信息  米高影业招聘信息最新最好  北京最新最好招聘监理信息  鸡冠区拆迁最新最好信息  汇善谷招聘信息最新最好  禾缘社区招聘信息最新最好  永州市最新最好资料信息  保定冠申招聘信息最新最好  珠海万产达最新最好信息  荆州求职最新最好招聘信息  陇南内保招聘信息最新最好  广安星巴克招聘信息最新最好  沈阳中铁香湖最新最好信息  宁国最新最好工程招标信息  上饶平房出售信息最新最好  丽景书院招聘信息最新最好  孟村最新最好招聘合集信息  电气最新最好产品发布信息  转卖扇贝最新最好信息官网  中科新悦招聘信息最新最好  松江育婴嫂招聘最新最好信息  以太坊最新最好相关信息潜力  抚州按摩最新最好招聘信息  珠海电器工招聘最新最好信息  韩城消防工招聘最新最好信息  忻州薛家湾最新最好路况信息  北干街道招工信息最新最好  佛科院最新最好更名信息  最新最好旋切工招聘信息  武安工厂最新最好招聘信息  覃塘元旦最新最好活动信息  盘州童装招聘信息最新最好  怡龙物流招聘信息最新最好  日照足球员招聘信息最新最好  鄂州最新最好政府信息  江西瑞昌最新最好招聘信息  高平租房最新最好信息网  兰州大选最新最好信息公布网  芮城门店出租信息最新最好  即墨观澜国际最新最好信息